Objective: Develop and validate a new method for estimating body fat percentage (BF%) using anthropometric data obtained through 3-dimensional optical imaging (3DO) and a gold-standard 4-component (4C) body composition model.
Implications: Provide a robust, scalable approach for accurate body fat estimation in diverse populations using accessible technology.
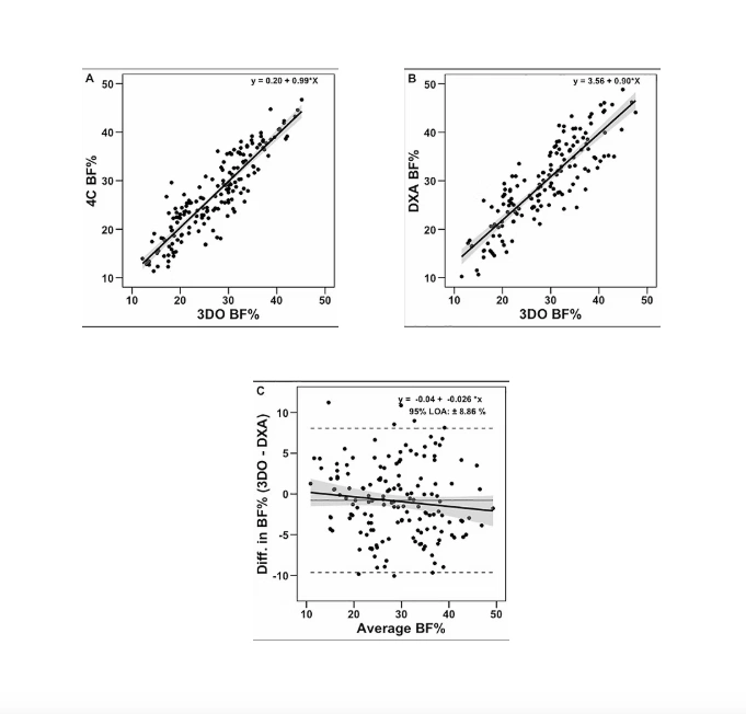
Patrick S. Harty, Breck Sieglinger, Steven B. Heymsfield, John A. Shepherd, David Bruner, Matthew T. Stratton, Grant M. Tinsley (May 2020),”Novel Body Fat Estimation Using Machine Learning and 3 Dimensional Optical Imaging“.National Library of Medicine – National Center for Biotechnical Information
