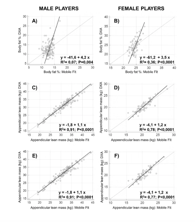
Objective: The study investigates the reproducibility and validity of using smartphone-based digital anthropometry, specifically the Mobile Fit app, for predicting body composition in youth soccer players. The aim was to assess how well the app compares to the gold standard Dual-Energy X-ray Absorptiometry (DXA) in estimating body fat percentage and appendicular lean mass.
Implications: The Mobile Fit app can be a reliable tool for monitoring body composition changes but requires further refinement for precise fat and lean mass quantifications, especially for females.
Marco A. Minetto, Angelo Pietrobelli, Andrea Ferraris, Chiara Busso, Massimo Magistrali, Chiara Vignati, Breck Sieglinger, David Bruner, John A. Shepherd, & Steven B. Heymsfield (November 2023) (“Equations for smartphone prediction of adiposity and appendicular lean mass in youth soccer players“. Nature.com – Scientific Reports
